Việc tính toán 1 bao keo dán gạch dán được bao nhiêu m² là yếu tố quan trọng giúp chủ đầu tư và thợ thi công dự trù chính xác chi phí, tránh lãng phí vật liệu. Tùy vào kích thước gạch, độ dày lớp keo và khối lượng bao keo, diện tích thi công sẽ khác nhau.
Trong quá trình ốp lát gạch, một trong những câu hỏi thường gặp nhất là: “1 bao keo dán gạch dán được bao nhiêu m²?”. Đây là thông tin quan trọng giúp các chủ thầu, kiến trúc sư, và gia chủ tính toán được lượng vật tư cần thiết, tránh tình trạng thiếu hoặc dư thừa quá nhiều, gây tốn kém chi phí. Hãy cùng Việt Chất tìm hiểu chi tiết trong bài viết dưới đây.
.jpg)
Không có một con số cố định cho câu trả lời, bởi diện tích thi công được quyết định bởi nhiều yếu tố:
.jpg)
Thông thường, keo dán gạch đóng bao có trọng lượng 20 kg hoặc 25 kg. Dựa trên độ dày trải keo, ta có thể ước lượng diện tích thi công như sau:
| Độ dày lớp keo | Diện tích phủ (bao 20kg) | Diện tích phủ (bao 25kg) |
|---|---|---|
| 3 mm | 5,5 – 6,0 m² | 6,8 – 7,5 m² |
| 4 mm | 4,5 – 5,0 m² | 5,5 – 6,3 m² |
| 5 mm | 3,5 – 4,0 m² | 4,5 – 5,0 m² |
| 6 mm | 3,0 – 3,5 m² | 3,8 – 4,3 m² |
Như vậy, với 1 bao 20kg, thông thường bạn có thể ốp lát được từ 3 – 6 m², còn 1 bao 25kg có thể phủ từ 4 – 7,5 m², tùy theo điều kiện thực tế.
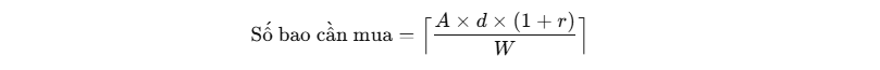
Công thức (ký hiệu):

Giải thích ký hiệu
A = Diện tích ốp lát (m²)
d = Định mức keo (kg/m²) — ví dụ 4.5 kg/m²
r = Tỷ lệ dự phòng (thường 0.05 — 0.10 tương ứng 5–10%)
W = Trọng lượng 1 bao keo (kg) — ví dụ 25 kg
⌈⋅⌉ = làm tròn lên (ceil), vì phải mua nguyên bao
Ví dụ cụ thể
Ốp 40 m², định mức 4.5 kg/m², bao 25 kg, dự phòng 5%:
Tổng khối lượng cần = 40×4.5=18040 \times 4.5 = 18040×4.5=180 kg
Cộng dự phòng 5%: 180×1.05=189180 \times 1.05 = 189180×1.05=189 kg
Số bao = 189/25=7.56⇒189 / 25 = 7.56 ⇒ làm tròn lên = 8 bao
.jpg)
Như vậy, 1 bao keo dán gạch có thể dán được từ 3 – 7,5 m², tùy theo độ dày trải keo, kích thước gạch và bề mặt nền. Để tính toán chính xác nhất, bạn nên tham khảo bảng định mức của nhà sản xuất hoặc liên hệ trực tiếp với đơn vị cung cấp.

Với nhiều năm kinh nghiệm trong lĩnh vực phân phối vật liệu xây dựng, Công ty TNHH Thương mại Dịch vụ Việt Chất đã trở thành địa chỉ tin cậy của nhiều đại lý và nhà thầu tại Hải Phòng.
Chúng tôi cam kết:
Sản phẩm chính hãng 100%, đầy đủ chứng từ chất lượng.
Giá cả cạnh tranh, chính sách chiết khấu hấp dẫn cho đại lý.
Hỗ trợ kỹ thuật tận tâm, tư vấn giải pháp thi công tối ưu.
Giao hàng nhanh chóng, đảm bảo tiến độ công trình.
Công ty TNHH Thương mại Dịch vụ Việt Chất là một đơn vị uy tín và đáng tin cậy trong lĩnh vực cung cấp vật liệu xây dựng tại Hải Phòng. Việt Chất tự hào là nhà phân phối Keo dán gạch tại Hải Phòng.
Địa chỉ: Số 99 Thiên Lôi, Quận An Biên, Tp Hải Phòng
Email: hoadonvietchat@gmail.com
Hotline tư vấn: 0968.666.986